Vollimplantierbares CI (TICI)

  • @ fast alle

    Bitte versucht doch mal eure Beiträge, Fragen, usw. ... in einem besseren Deutsch zu formulieren. Dadurch könnten viele Missverständnisse:cursing: von vornherein vermieden werden :) !

    rechts und links: AdvancedBionics (AB) Naída CI-M 90

  • Hallo,

    Man sagt ja, dass Föten schon im Mutterleib hören. Insofern muss die Haut in gewissen Maßen schalldruchlässig sein. Aber dennoch wäre hinter dem Ohr unter der Haut nicht der erste Ort, der mir einfallen würde, um ein Mikrofon zu platzieren, wenngleich diese Position praktische Vorteile bei der OP hat. Schade, dass man diese Aussage nicht weiter verifizieren kann.

    Ich habe vor ca. 2 Jahren mit jemandem gesprochen, dem man auch das TiCI angeboten hatte, der sich aber auch dagegen entschieden hat. Diesem Menschen hat man gar nicht sagen wollen, wie das mit der Schallaufnahme funktioniert. Ihm war das deutlich zu wenig an Informationen, so dass er jetzt normale CIs hat.

  • Hallo zusammen!

    Habe eigentlich, wie alle anderen auch, keine detaillierte Informationen. In der Frühphase des „TICI“ hieß es mal, dass das Mikrofon hinter das Trommelfell geschoben wird. Was aus meiner Sicht, durchaus Sinn machen würde. Die Sonde läuft ja auch durch das Mittelohr, dann könnte man in derselben Sitzung auch ein Mikrofon nachschieben. Es gab mal ein vollimplantierbares Mittelohr System von Cochlear Namens Carina. Das scheiterte u. a. an den Körpergeräuschen der Implantierten. Besonders prägnant ist natürlich der Herzschlag, Strömungsgeräusch der Halsschlagader, aber auch „Verdauungsgeräusche“ sind allgegenwertig. Denke auch das diese Geräusche permanent gehört, auf Dauer ziemlich nervig sind und stören. Die Geräusche ließen sich seinerzeit nicht „wegfiltern“. Vielleicht ist man das einen Schritt weiter. Die anderen Vor- und Nachteile sind schon hinreichend diskutiert worden. Für mich wäre es definitiv nichts. Bei jedem kleinen oder großen Defekt steht jedesmal eine OP an. Dazu kommt ja noch die Problematik eine freie Kapazität in einem OP Plan zu finden, um die „Reparatur“ auszuführen. So kann es als gut sein, dass man bei einem Defekt mehrere Tage ohne sein TICI auskommen muss. Denkbar wäre aber auch, das man an der Schnittstelle um den Akku aufzuladen, ggf. einen Sprachprozessor tragen kann. Weiß nicht wie so etwas organisiert wird.

    Mit freundlichem Gruß

    Thomas

    Links: MedEL: Implantat MI 1200 Synchrony 24mm - SP EAS Sonnet OP 01.06.18 EA 16.07.18 - MHH

    Rechts: MedEL: Implantat MI 1250 Synchrony 28mm - SP Sonnet 2 OP 17.09.19 EA 21.10.19 - MHH

    Rechts: Revisions OP Afterloading 11.11.2021 MHH

    Upgrade Sonnet 3 bds. 12.10.2025

    Edited once, last by Stier60 (August 20, 2024 at 2:28 PM).

  • Vom DCIG gibt es bei YouTube "Lautstark - Den Talk rund ums Hören". Dort wurde im März 2022 auch mit Prof. Müller über das TICI gesprochen. Ab Minute 34 wird z.B. die Frage behandelt, was die CI-Patienten zur Teilnahme an der Studie motiviert. Wer möchte, der kann sich einen Untertitel oder das Transkript zuschalten.

    Lautstark: TICI, das erste vollständig implantierbare Cochlea Implantat

  • Caro76 November 19, 2024 at 1:37 PM

    Changed the title of the thread from “Vollimplantierbares CI (TICI) - habe eben das Angebot zur Studienteilnahme bekommen” to “Vollimplantierbares CI (TICI)”.
  • Hallo zusammen,

    ich möchte gerne an dieser Stelle, das zuletzt vor über einem Jahr eröffnete Thema "Vollimplantierbares CI (TICI)", erneut thematisieren und als Sammelstelle für Updates, Information und Austausch anstoßen.

    Die Entwicklungen betreffend der besagten Technologie verfolge ich bereits seit der Erst-Implantation interessiert und aufmerksam - auch wenn der Informationsgehalt, den man aus Online/Offline-Recherchen, Gesprächen mit Kliniken oder vom Hersteller selbst erhält, sehr(!) mager ist. Da Studienteilnehmer sich aufgrund vertraglicher Bindungen, verständlicherweise extrem bedeckt halten müssen, findet man leider auch keinerlei Infos aus erster Hand.

    Ich stieß vor Kurzem auf ein sehr interessantes Dokument des Bundesinstitut für Arzneimittel und Medizinprodukte (kurz BfArM). Hierbei handelt es sich um einen Vorschlag zur Aufnahme eines neuen Codes in den kommenden OPS-Katalog 2026. OPS steht für „Operationen- und Prozedurenschlüssel“ und ist wohl ein offizieller, jährlich aktualisierter medizinischer Klassifikationskatalog, der in Deutschland verwendet wird, um medizinische Eingriffe und Behandlungen zu klassifizieren, Abrechnungen mit den Krankenkassen durchzuführen und neue medizinische Verfahren in die reguläre Versorgung aufzunehmen.

    https://multimedia.gsb.bund.de/BfArM/downloads/klassifikationen/ops/vorschlaege/vorschlaege2026/ops2026-090-vollimplantcochleaimpl.pdf?utm_source=chatgpt.com

    Man bereitet demnach eine Zulassung und Integration des TICI-Verfahrens in die reguläre medizinische Abrechnung für 2026 vor. Sicherlich stehen auch noch Themen wie eine CE Zulassung aus, doch die Sache scheint zunehmend greifbare Formen anzunehmen und keine Zukunftsmusik mehr zu sein, mit der man erst in vielen Jahren rechnen darf.

    Wie ist euer Stand des Wissens, welche Informationen liegen euch darüber hinaus vor?

    Lasst uns gerne in den Austausch gehen.

    Viele Grüße

  • Auch für einen ruhigen Schlaf gibt es Lösungen. Zum Beispiel ein Programm, in dem die Lautstärke aufs Minimum reduziert ist. In das könnte man vor dem Einschlafen wechseln. Dann braucht man allerdings einen Wecker, der nicht nur akustisch funktioniert.

  • Ich sehe darin absolut keinen Nachteil. Gesunde Menschen hören auch 24/7. Die Regulierung erfolgt im Gehirn. Man hört deswegen ja auch nicht lauter oder bekommt mehr mit als gesunde Menschen. Ich persönlich habe eine große Scheu vor dem Ablegen von Hörhilfen und der dann eintretenten Stille. Ich würde alles dafür geben 24/7 zu hören.

    Dieses System ist für mich keine Frage nach dem "ob", sondern mach dem "wann".

    Mich würde interessieren ob jemand ggf. weitere Infos bezüglich zu erwartender Markteinführung, Studien etc. vorliegen hat?

  • Gesunde Menschen hören auch 24/7.

    Das stimmt. Aber normal hörende Menschen sind damit groß geworden und sind daran gewöhnt. Ich würde definitiv so 😳 im Bett liegen, zumal mein Partner in der Nacht ganze Bäume zersägt…

    Dieser Punkt würde mich in der Studie auch interessieren. Ob die Probanden damit zurecht kommen…

    Links: AB implantiert im Februar 2025 - EA am 18.03.2025

    Rechts: HG von Phonak Naida Link M

  • Es gibt eine TICI Nutzerin die seit August offiziell darüber berichten darf. Hat es in sozialen Netzwerken auch schon getan. Zum 24/7 Stunden hören, ganz simpel - sie schaltet das TICI einfach aus. auf der andere Seite trägt sie ein Sonnet 2. Sie ist soweit eigentlich sehr zufrieden und kommt sehr gut mit der Kombi klar. Die Machbarkeitsstudie ist wohl soweit abgeschlossen. Jetzt werden die Ergebnisse zusammengetragen und dann geht es ggf den weiteren Weg.

    Links: MedEL: Implantat MI 1200 Synchrony 24mm - SP EAS Sonnet OP 01.06.18 EA 16.07.18 - MHH

    Rechts: MedEL: Implantat MI 1250 Synchrony 28mm - SP Sonnet 2 OP 17.09.19 EA 21.10.19 - MHH

    Rechts: Revisions OP Afterloading 11.11.2021 MHH

    Upgrade Sonnet 3 bds. 12.10.2025

  • Ja, das ist auch mein Kenntnisstand. Das tici von Medel kann man mit einer Fernbedienung ein- u ausschalten oder d Lautstärke verändern.

    Geladen wird das tici mit einem 'knopf' das genauso aussieht wie ein Rondo. Dh man trägt täglich f paar Minuten ein Rondo und hört sonst ohne.

    Falls der Akku, Mikrofon defekt sein sollte, könnte man das normale ci stattdessen tragen.

    Man hat also keine Nachteile.

    Von AB oder Cochlear gibts leider überhaupt keine infos über deren tici Entwicklungen(?)

    CI-Kanditat auf Recherche :/

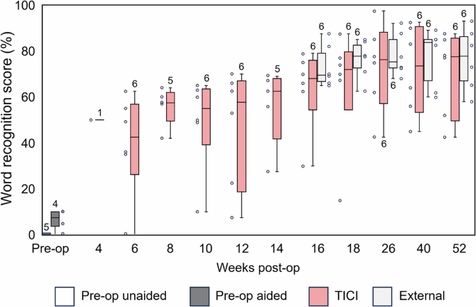
  • Lt. Bericht nutzen die mehr Teilnehmer der klinischen Studie das Tici als den ext. Prozessor:

    "From the device usage statistics, it was found that five of the six participants used the TICI without an external processor considerably more frequently than with an external processor."


    Die Hörergebnisse waren ähnlich: "it was observed that the use of the TICI with its internal microphone and signal processor achieved similar scores as with the use of the external processor."


    Für weitere infos, hier d quelle:

    Rehabilitation of human hearing with a totally implantable cochlear implant: a feasibility study - Communications Medicine
    Lefebvre, Müller et al. present initial clinical findings with a totally implantable cochlear implant, where the components of the audio processor have been…
    www.nature.com

    CI-Kanditat auf Recherche :/

  • Ich sehe darin absolut keinen Nachteil. Gesunde Menschen hören auch 24/7. Die Regulierung erfolgt im Gehirn.

    Wenn gesunde Menschen 24/7 hören und das so schön ist, warum werden dann solche Sachen wie Ohrenstöpsel, Kapselgehörschutz mit Bügel und Noise-Cancelling erfunden und von vielen genutzt?

    Zum 24/7 Stunden hören, ganz simpel - sie schaltet das TICI einfach aus. auf der andere Seite trägt sie ein Sonnet 2.

    Das stimmt, das konnte man schon 2022 in der schnecke online nachlesen. Ich gehe davon aus, dass "Ausschalten" aber eher eine Art Standby-Modus ist, weil das TICI ansonsten von außen nicht mehr eingeschaltet werden könnte.

    Falls der Akku, Mikrofon defekt sein sollte, könnte man das normale ci stattdessen tragen.

    Man hat also keine Nachteile.

    Abgesehen davon, dass man ein defektes Gerät - welches sich nur operativ entfernen lässt - am Kopf mit sich herumträgt, hat man keine Nachteile.

  • Wenn gesunde Menschen 24/7 hören und das so schön ist, warum werden dann solche Sachen wie Ohrenstöpsel, Kapselgehörschutz mit Bügel und Noise-Cancelling erfunden und von vielen genutzt?

    ….

    :thumbup::thumbup::thumbup: nur weil andere irgendwas haben, muss ich nicht auch noch scharf drauf sein. für mich käme 24/7 definitiv nicht in frage. die welt ist voll mit sinnfreiem lärm u ich bin froh, dass ich den größten teil dieses mülls nicht hören muss.

    zudem finde ich ein modulares system besser als eine all-in-one lösung. reparaturen und updates sind dann einfacher und ohne OP zu haben.

    hörbehindert seit Geburt, HG mit Anfang 20 (Phonak), seit ca. 3-4 Jahren massive Verschlechterung des Wortverständnisses, Okt. 2025 CI-Implantation (AB), EA Nov. 2025

  • zudem finde ich ein modulares system besser als eine all-in-one lösung. reparaturen und updates sind dann einfacher und ohne OP zu haben.

    Ja. Kann mich auch nicht mit diesem Gedanken anfreunden. Auch ein Akku im Kopf finde ich etwas bedenklich. Wenn der mal brennt oder explodiert, ist das sicher keine schöne Erfahrung. Und das Mikro unter der Haut statt im Ohrkanal finde ich auch etwas merkwürdig.

    Aber ich sehe natürlich auch die Vorteile und finde es gut, dass es entwickelt gibt und von Wagemutigen ausprobiert wird. Im Laufe der Zeit wird es sicher eine ernstzunehmende Alternative.

    Zum Thema CI 24/7 gibt es noch zu bedenken, dass das CI bei einigen Leuten (wie bei mir) auch den Tinnitus vermindert. Deswegen lasse ich das CI auch oft an, wenn ich in der Stille arbeite. Nachts höre ich den TInnitus dann wieder, zum Glück nicht so schlimm. Wenn es möglich wäre, würde ich aber vielleicht sogar in der Nacht das CI eingeschaltet lassen.

  • Da der Akku unter der Haut keinen Sauerstoff bekommt, würde ich eine Explosion oder Brand ausschließen. Hören zu können wo man sonst nicht hören kann wäre schön. Ich gestehe, dass ich das Hören in der Sauna vermisse.

    Ansonsten teile ich die Bedenken. Je mehr unter der Haut liegt, umso mehr kann auch kaputt gehen.

    Edited once, last by Andrea2002 (November 7, 2025 at 6:57 AM).

  • Ich habe die von Phonaky angegebene Studie mir angesehen. Nur einer von den sechs Patienten hat überwiegend den externen Prozessor getragen. Einer war ein Poweruser, der mehr oder weniger den ganzen Tag gehört hat. Die anderen hatten eine durchschnittliche Benutzungsdauer von um die 12 Stunden, was ich für einen Erwachsenen etwas wenig finde.

  • … Hören zu können wo man sonst nicht hören kann wäre schön. Ich gestehe, dass ich das Hören in der Sauna vermisse. …

    das wäre in der tat schön. :) aber ich habe mich bislang in der sauna mich auch nur per lippenlesen verständigen können, von daher wäre das eine ganz neue erfahrung. aber ich rede in der sauna eher nicht. ;)

    hörbehindert seit Geburt, HG mit Anfang 20 (Phonak), seit ca. 3-4 Jahren massive Verschlechterung des Wortverständnisses, Okt. 2025 CI-Implantation (AB), EA Nov. 2025